エクセル2016から、「数式の挿入」機能が新しくなっていました。
エクセル2010でかなり改善されましたが、それでも不便で。
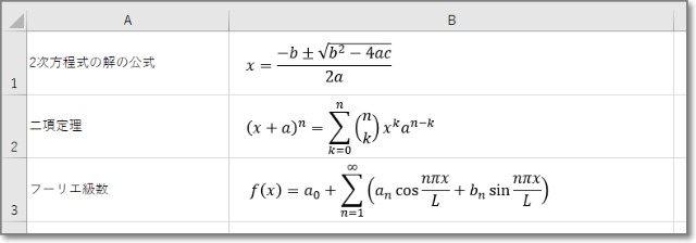
2016は、数学や物理の問題を作成するかたには、かなり便利。
「挿入」タブ→「数式」のドロップダウンを見ると・・・
いくつかの公式が並んでいます。

それらを選ぶと、いきなりオブジェクトとして入力できます。
編集も可能。
フォントサイズの変更もできますが、フォントの種類を変更はできません。

一覧にないものは、「挿入」タブ→「数式」をクリックすると、
「数式ツール」の「デザイン」タブが表示されます。
これで、ちまちま入力。

これが便利で、かなりの精度で認識してくれます。
上記は、2ヶ所がうまく認識できませんでした。
「消去」して書き直してもいいし、
挿入後に編集してもOK。

test ad



コメント